New goal. How to combine Lean, Six Sigma and Theory of Constraints

after payment (24/7)
(for all gadgets)
(including for Apple and Android)
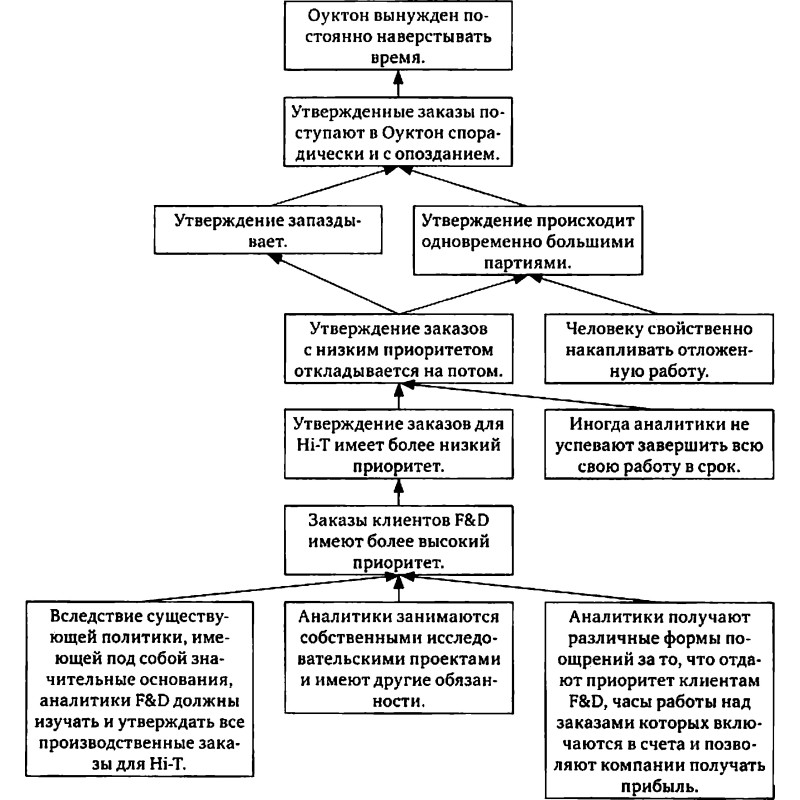
From the manufacturerWhat is this book about? Iconic management techniques - "six sigma" and "theory of constraints" (TOC) have been successfully proving their effectiveness for two decades, and the famous "lean manufacturing" for as many as fifty! But what to do if in your situation there is no Does one of these techniques not work? Perhaps it is worth creating something new based on them. This is exactly what they did at the AGI Institute - the institute of Eliyahu Goldratt, the developer of the theory of constraints and the author of the book "The Goal", which has become a cult favorite for several generations of businessmen. Within its walls, they created a new methodology, “Velocity,” which combined the best elements of Lean Six Sigma and TOC. And, following the tradition of “Goals,” they wrote a business novel in which the basic provisions and principles of LSS were explained in simple and understandable language, TOC and Velocity on the example of managing a specific high-tech enterprise.
Who is this book for? For thinking managers who are faced with the task of optimizing production.
Why we decided to publish this bookReaders-managers often admit that teaching new techniques in a book-case format is extremely effective. Therefore, we are confident that this fusion of proven theories and fiction will rightfully become the same bestseller as “The Goal” - after all, all the principles outlined...
The “trick” of the book... has already been tested by battle : Velocity has been introduced into the US Navy!
Data sheet
- Name of the Author
- Джефф Кокс М
Ди Джейкобс
Сьюзан Бергланд - Language
- Ukrainian
- Release date
- 2012
- Translator
- Павел Валерьевич Миронов